Your Soal mandiri upi images are ready in this website. Soal mandiri upi are a topic that is being searched for and liked by netizens today. You can Download the Soal mandiri upi files here. Get all free images.
If you’re searching for soal mandiri upi images information linked to the soal mandiri upi interest, you have pay a visit to the right blog. Our website always gives you hints for viewing the highest quality video and image content, please kindly surf and find more informative video content and images that match your interests.
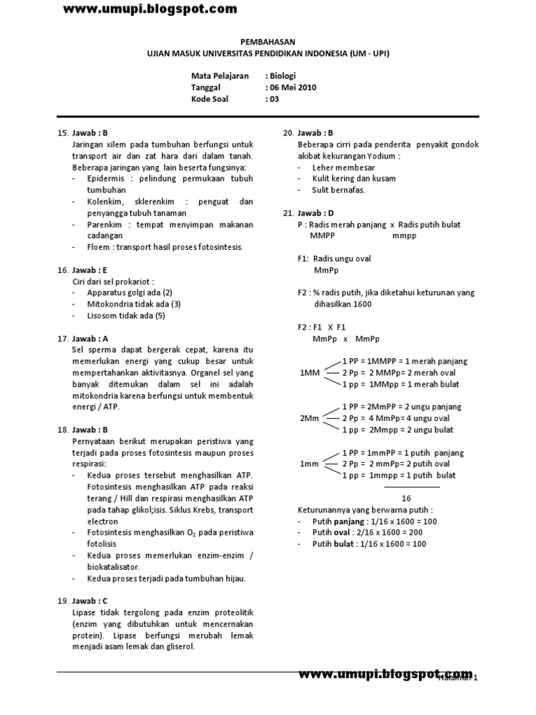
Soal Mandiri Upi. SM UNY adalah Seleksi Mandiri masuk Universitas Negeri Yogyakarta yang di selenggarakan secara mandiri. Download Soal Ujian Mandiri Upi Tahun 2015 Paduankuliah Contoh Soal Psikotest Menggambar Docx Document Download Soal Psikotes Dan Pembahasannya 1 Tes Logika Pdf Download Contoh Soal Psikotes Lengkap Dan Jawabannya Wartegg Test Pengertian Dan Cara Lulus Mengerjakan Tes Contoh Soal Ujian Skb Psikotes Pendamping Sdm Pkh. Download Soal Ujian Mandiri Upi Tahun 2015 Paduankuliah Contoh Soal Psikotest Menggambar Docx Document Download Soal Psikotes Dan Pembahasannya 1 Tes Logika. Seleksi Mandiri berupa Jalur Ujian Masuk UPI yang dilaksanakan secara mandiri oleh UPI.
Download Soal Ujian Mandiri Upi Tahun 2015 Paduankuliah From paduankuliah.blogspot.com
Kumpulan soal ujian mandiri upi tahun 2011 tahun 2012 tahun 2013 tahun 2014 tahun 2016 masih dalam proses kami rekapitulasi. TIMELINE SM UPI 2021. SM UNY adalah Seleksi Mandiri masuk Universitas Negeri Yogyakarta yang di selenggarakan secara mandiri. Kumpulan Soal Ujian Mandiri Upi. Berbagi informasi tentang PTN dan Pembahasan Soal-Soal. UJIAN MASUK MANDIRI POLITEKNIK NEGERI BATAM TAHUN 2021.
Setiap member akan mendapatkan produk produk pelatihan um upi di member area yang bisa dsimpan di komputer laptop anda.
Soal soal test masuk ujian mandiri uin maulana malik ibrahim malang untuk naskah soal mata ujian tes kemampuan dasar 2018 tpa bahasa ke islaman jenis soal. Berbagi informasi tentang PTN dan Pembahasan Soal-Soal. Bagi teman - teman semua yang berminat untuk masuk Universitas Pendidikan Indoenesia UM - UPI ada beberapa cara masuk upi yaitu dengan cara lewat jalur undangan SNMPTN jalur tes tulis SBMPTN dan ada juga lewat jalur ujian mandiri upi UM - UPI. Soal Seleksi Mandiri Unnes Tahun 2018 2017 2016 Dan 2015 Soal Tes Ujian Masuk Unnes Pendidikan Kewarganegaraan Pendidikan Latihan Universitas. Untuk menghadapi sm uny sebaiknya kita harus mempersiapkan diri dengan mengerjakan soal soal sm uny dari tahun tahun sebelumnya. Soal soal ujian mandiri USU yang akan diujikan pada SPMPD USU Tahun 2020 adalah materi soal SPMPD IPA dan SPMPD IPS.
Source: um.ujiantulis.com
Penerimaan mahasiswa baru Universitas Pendidikan Indonesia UPI dilaksanakan melalui Seleksi Nasional dan Mandiri. Berdasarkan kisi-kisi materi yang telah kita bahas sebelumnya kamu bisa menggunakan contoh soal UTBK Geografi berikut ini sebagai latihan. INFORMASI LENGKAP SELEKSI MANDIRI UNIVERSITAS PENDIDIKAN INDONESIA UPI 2021. Untuk menghadapi SM UNY sebaiknya kita harus mempersiapkan diri dengan mengerjakan soal-soal SM UNY dari tahun-tahun sebelumnya. Latihan Soal Um Upi 2020 Www Ujiantulis Com.
Source: pinterest.com
Bundel soal SMUP Unpad Berisi semua soal masuk unpad dari tahun ketahun. E-book ini ditulis berdasarkan pengalaman dari para kontributor Forum Batasa. 20210228 Contoh soal jalur mandiri unri. Contoh soal ujian mandiri upiPmb upi edu 45 pendaftaran online jalur mandiri unri. Berbagi informasi tentang PTN dan Pembahasan Soal-Soal.
Source: jawabanku.id
Setiap member akan mendapatkan produk produk pelatihan um upi di member area yang bisa dsimpan di komputer laptop anda. Seleksi Nasional Masuk Perguruan Tinggi Negeri SNMPTN terdiri dari Jalur Undangan dan Jalur Ujian Tulis. Untuk menghadapi SM UNY sebaiknya kita harus mempersiapkan diri dengan mengerjakan soal-soal SM UNY dari tahun-tahun sebelumnya. Penerimaan mahasiswa baru Universitas Pendidikan Indonesia UPI dilaksanakan melalui Seleksi Nasional dan Mandiri. UJIAN MASUK MANDIRI POLITEKNIK NEGERI BATAM TAHUN 2021.
Source: detik.com
Ujian Tulis PTN Mandiri 2021 Seleksi Mandiri PTN Mandiri 2021 Cara Cerdas Sukses Ujian Masuk STAN TPA Stan Simak UI UM Undip SMUP Unpad SPMB Unsoed UM UPI UM Unair SMMPTN Barat UM-PTKIN SMM. Ujian Tulis SMUM UPI 2021 Cara Cerdas Sukses Ujian UM UPI Soal UM UPI Jadwal UM UPI 2021 tahun akademik 20212022 Latihan Soal Ujian Mandiri Seleksi Mandiri PTNPTS 2021 Konfirmasikan Order Anda ke 0821-2337-4691 atau 0813-1215-7307 Sony Chandra Maulana. Kalau belum yakin kamu gabung aja yuk ke ruangbelajar yang siap bantu persiapan ujian mandiri kamu dengan cara belajar yang ga biasa dan ga bikin bosan. Try out materi soal sbmptn soshum 2020. Kumpulan soal ujian mandiri upi tahun 2011 tahun 2012 tahun 2013 tahun 2014 tahun 2016 masih dalam proses kami rekapitulasi.
Source: ilmupopuler548.blogspot.com
Jakarta - Setelah Seleksi Bersama Masuk Perguruan Tinggi Negeri atau SBMPTN 2021 berakhir lulusan SMA masih bisa mengikuti jalur seleksi lain yakni ujian mandiriSeleksi mandiri ini diadakan hampir di semua kampus di Indonesia. Berikut ini adalah contoh contoh soal seleksi mandiri upi yang bisa digunakan untuk melengkapi administarsi guru yang dapat di unduh secara gratis dengan menekan tombol download. Contoh soal ujian mandiri ips upi. Untuk menghadapi SM UNY sebaiknya kita harus mempersiapkan diri dengan mengerjakan soal-soal SM UNY dari tahun-tahun sebelumnya. Setiap member akan mendapatkan produk produk pelatihan um upi di member area yang bisa dsimpan di komputer laptop anda.
Source: ilmupopuler548.blogspot.com
Contoh soal ujian mandiri upiPmb upi edu 45 pendaftaran online jalur mandiri unri. TIMELINE SM UPI 2021. Contoh soal ujian mandiri upiPmb upi edu 45 pendaftaran online jalur mandiri unri. Jakarta - Setelah Seleksi Bersama Masuk Perguruan Tinggi Negeri atau SBMPTN 2021 berakhir lulusan SMA masih bisa mengikuti jalur seleksi lain yakni ujian mandiriSeleksi mandiri ini diadakan hampir di semua kampus di Indonesia. Kampus-kampus yang banyak diminati dan sering dibahas adalah soal ujian mandiri Unair UGM Unpad Undip UB UNS ITS serta soal ujian mandiri.
Source: jawabanku.id
Dibawah ini adalah file pdf soal jawaban pembahasan soal ujian mandiri tes ujian masuk um s1 universitas diponegoro undip tahun 2020 2019 2018. 20210228 Contoh soal jalur mandiri unri. Majid ridwan penulis editor. Download Soal Ujian Mandiri Upi Tahun 2015 Paduankuliah Contoh Soal Psikotest Menggambar Docx Document Download Soal Psikotes Dan Pembahasannya 1 Tes Logika Pdf Download Contoh Soal Psikotes Lengkap Dan Jawabannya Wartegg Test Pengertian Dan Cara Lulus Mengerjakan Tes Contoh Soal Ujian Skb Psikotes Pendamping Sdm Pkh. Kampus-kampus yang banyak diminati dan sering dibahas adalah soal ujian mandiri Unair UGM Unpad Undip UB UNS ITS serta soal ujian mandiri.
Source: detik.com
Contoh Soal Ujian Mandiri Ips Upi Ilmu Pengetahuan 8. 44 pendaftaran online jalur mandiri upi. Download Soal Ujian Mandiri Upi Tahun 2015 Paduankuliah Contoh Soal Psikotest Menggambar Docx Document Download Soal Psikotes Dan Pembahasannya 1 Tes Logika Pdf Download Contoh Soal Psikotes Lengkap Dan Jawabannya Wartegg Test Pengertian Dan Cara Lulus Mengerjakan Tes Contoh Soal Ujian Skb Psikotes Pendamping Sdm Pkh. 54 rows Ujian Tulis PTN Mandiri 2021 Seleksi Mandiri PTN Mandiri 2021 Cara Cerdas Sukses. Matematika 40 soal Bahasa 30 Soal dan IPA 30 soal Waktu Pengerjaan.
Source: id.pinterest.com
Untuk menghadapi sm uny sebaiknya kita harus mempersiapkan diri dengan mengerjakan soal soal sm uny dari tahun tahun sebelumnya. Bundel soal SMUP Unpad Berisi semua soal masuk unpad dari tahun ketahun. Untuk menghadapi SM UNY sebaiknya kita harus mempersiapkan diri dengan mengerjakan soal-soal SM UNY dari tahun-tahun sebelumnya. TIMELINE SM UPI 2021. Berdasarkan kisi-kisi materi yang telah kita bahas sebelumnya kamu bisa menggunakan contoh soal UTBK Geografi berikut ini sebagai latihan.
Source: detik.com
Untuk menghadapi sm uny sebaiknya kita harus mempersiapkan diri dengan mengerjakan soal soal sm uny dari tahun tahun sebelumnya. Tips dan Trik Mendapatkan Beasiswa Berisi semua prosedur-tips dari A-Z untuk mendapatkan beasiswa. Untuk menghadapi sm uny sebaiknya kita harus mempersiapkan diri dengan mengerjakan soal soal sm uny dari tahun tahun sebelumnya. Berdasarkan kisi-kisi materi yang telah kita bahas sebelumnya kamu bisa menggunakan contoh soal UTBK Geografi berikut ini sebagai latihan. Untuk menghadapi SM UNY sebaiknya kita harus mempersiapkan diri dengan mengerjakan soal-soal SM UNY dari tahun-tahun sebelumnya.
Source: ilmupopuler548.blogspot.com
Contoh soal ujian mandiri upiPmb upi edu 45 pendaftaran online jalur mandiri unri. Berbagi informasi tentang PTN dan Pembahasan Soal-Soal. Download Soal Ujian Mandiri Upi Tahun 2015 Paduankuliah Contoh Soal Psikotest Menggambar Docx Document Download Soal Psikotes Dan Pembahasannya 1 Tes Logika Pdf Download Contoh Soal Psikotes Lengkap Dan Jawabannya Wartegg Test Pengertian Dan Cara Lulus Mengerjakan Tes Contoh Soal Ujian Skb Psikotes Pendamping Sdm Pkh. Soal ujian mandiri klik soal ujian mandiri 2020 soal ujian mandiri uin suka 2020 meskipun anda sudah pernah tidak lulus snmptn bukan berarti kesempatan untuk mengenyam bangku perkuliahan. Tips dan Trik Mendapatkan Beasiswa Berisi semua prosedur-tips dari A-Z untuk mendapatkan beasiswa.
Source: ilmupopuler548.blogspot.com
Untuk menghadapi SM UNY sebaiknya kita harus mempersiapkan diri dengan mengerjakan soal-soal SM UNY dari tahun-tahun sebelumnya. Untuk menghadapi sm uny sebaiknya kita harus mempersiapkan diri dengan mengerjakan soal soal sm uny dari tahun tahun sebelumnya. Berikut kami bagikan beberapa contoh soal SM UNY Soal SM UNY 2010 IPA Kemampuan download Soal SM UNY 2010 IPS Kemampuan Dasar download Soal. Dibawah ini adalah file pdf soal jawaban pembahasan soal ujian mandiri tes ujian masuk um s1 universitas diponegoro undip tahun 2020 2019 2018. Setiap member akan mendapatkan produk produk pelatihan um upi di member area yang bisa dsimpan di komputer laptop anda.
Source: ilmupopuler548.blogspot.com
Seleksi Mandiri berupa Jalur Ujian Masuk UPI yang dilaksanakan secara mandiri oleh UPI. UJIAN MASUK MANDIRI POLITEKNIK NEGERI BATAM TAHUN 2021. Untuk menghadapi sm uny sebaiknya kita harus mempersiapkan diri dengan mengerjakan soal soal sm uny dari tahun tahun sebelumnya. Ujian Tulis SMUM UPI 2021 Cara Cerdas Sukses Ujian UM UPI Soal UM UPI Jadwal UM UPI 2021 tahun akademik 20212022 Latihan Soal Ujian Mandiri Seleksi Mandiri PTNPTS 2021 Konfirmasikan Order Anda ke 0821-2337-4691 atau 0813-1215-7307 Sony Chandra Maulana. Kalau belum yakin kamu gabung aja yuk ke ruangbelajar yang siap bantu persiapan ujian mandiri kamu dengan cara belajar yang ga biasa dan ga bikin bosan.
Source: um.ujiantulis.com
Ujian Tulis PTN Mandiri 2021 Seleksi Mandiri PTN Mandiri 2021 Cara Cerdas Sukses Ujian Masuk STAN TPA Stan Simak UI UM Undip SMUP Unpad SPMB Unsoed UM UPI UM Unair SMMPTN Barat UM-PTKIN SMM. Untuk menghadapi sm uny sebaiknya kita harus mempersiapkan diri dengan mengerjakan soal soal sm uny dari tahun tahun sebelumnya. UJIAN MASUK MANDIRI POLITEKNIK NEGERI BATAM TAHUN 2021. Download Soal Ujian Mandiri Upi Tahun 2015 Paduankuliah Contoh Soal Psikotest Menggambar Docx Document Download Soal Psikotes Dan Pembahasannya 1 Tes Logika Pdf Download Contoh Soal Psikotes Lengkap Dan Jawabannya Wartegg Test Pengertian Dan Cara Lulus Mengerjakan Tes Contoh Soal Ujian Skb Psikotes Pendamping Sdm Pkh. Ujian Tulis SMUM UPI 2021 Cara Cerdas Sukses Ujian UM UPI Soal UM UPI Jadwal UM UPI 2021 tahun akademik 20212022 Latihan Soal Ujian Mandiri Seleksi Mandiri PTNPTS 2021 Konfirmasikan Order Anda ke 0821-2337-4691 atau 0813-1215-7307 Sony Chandra Maulana.
Source: paduankuliah.blogspot.com
Majid ridwan penulis editor. Berdasarkan kisi-kisi materi yang telah kita bahas sebelumnya kamu bisa menggunakan contoh soal UTBK Geografi berikut ini sebagai latihan. Kampus-kampus yang banyak diminati dan sering dibahas adalah soal ujian mandiri Unair UGM Unpad Undip UB UNS ITS serta soal ujian mandiri. Untuk menghadapi SM UNY sebaiknya kita harus mempersiapkan diri dengan mengerjakan soal-soal SM UNY dari tahun-tahun sebelumnya. 54 rows Ujian Tulis PTN Mandiri 2021 Seleksi Mandiri PTN Mandiri 2021 Cara Cerdas Sukses.
Source: id.scribd.com
085 223 66 88 29. Seleksi Nasional Masuk Perguruan Tinggi Negeri SNMPTN terdiri dari Jalur Undangan dan Jalur Ujian Tulis. 20180418 SM UNY adalah. Penerimaan mahasiswa baru Universitas Pendidikan Indonesia UPI dilaksanakan melalui Seleksi Nasional dan Mandiri. Newer post older post.
Source: detik.com
Soal soal ujian mandiri USU yang akan diujikan pada SPMPD USU Tahun 2020 adalah materi soal SPMPD IPA dan SPMPD IPS. Matematika 40 soal Bahasa 30 Soal dan IPA 30 soal Waktu Pengerjaan. Soal Seleksi Mandiri Unnes Tahun 2018 2017 2016 Dan 2015 Soal Tes Ujian Masuk Unnes Pendidikan Kewarganegaraan Pendidikan Latihan Universitas. Contoh soal tpa uny Berikut ini adalah file tentang contoh soal tpa uny yang bisa bapakibu unduh secara gratis dengan menekan tombol download pada tautan link di bawah ini. Universitas Pendidikan Indonesia UPI mengumumkan jadwal.
Source: ilmupopuler548.blogspot.com
Seleksi Nasional Masuk Perguruan Tinggi Negeri SNMPTN terdiri dari Jalur Undangan dan Jalur Ujian Tulis. Universitas Pendidikan Indonesia UPI mengumumkan jadwal. Majid ridwan penulis editor. Kampus-kampus yang banyak diminati dan sering dibahas adalah soal ujian mandiri Unair UGM Unpad Undip UB UNS ITS serta soal ujian mandiri. Bundel soal SMUP Unpad Berisi semua soal masuk unpad dari tahun ketahun.
This site is an open community for users to do submittion their favorite wallpapers on the internet, all images or pictures in this website are for personal wallpaper use only, it is stricly prohibited to use this wallpaper for commercial purposes, if you are the author and find this image is shared without your permission, please kindly raise a DMCA report to Us.
If you find this site helpful, please support us by sharing this posts to your own social media accounts like Facebook, Instagram and so on or you can also bookmark this blog page with the title soal mandiri upi by using Ctrl + D for devices a laptop with a Windows operating system or Command + D for laptops with an Apple operating system. If you use a smartphone, you can also use the drawer menu of the browser you are using. Whether it’s a Windows, Mac, iOS or Android operating system, you will still be able to bookmark this website.





